A continuación veremos un método que nos permite calcular la inversa de una matriz usando las operaciones elementales por filas para reducir la matriz a una matriz escalonada reducida, pero a su vez, con las mismas operaciones transformar la matriz identidad en la inversa que estamos buscando.
Formalmente, si es una matriz cuadrada no-singular, es decir, tal que su determinante es distinto de cero. Podemos usar el Método de Eliminación de Gauss-Jordan (ó Método de Eliminación Gaussiana) para calcular su inversa ampliando la matriz
adosando la matriz identidad a su lado derecho, de la siguiente forma:

Veamos algunos ejemplos para entender como se calcula la matriz inversa desarrollando este procedimiento.
Ejemplos
Ejemplo 1
Considerando la matriz de tamaño . Calcule la matriz inversa usando el Método de Eliminación de Gauss-Jordan.
Empezamos calculando el determinante de la matriz para verificar que éste sea diferente de cero,

Habiendo verificado que el determinante de la matriz es distinto de cero, ampliamos la matriz adosando la matriz identidad de lado derecho y aplicamos el Método de Eliminación de Gauss-Jordan sobre la matriz
.





Finalmente, la matriz inversa de A está definida de la siguiente forma,

Ejemplo 2
Considerando la matriz de tamaño . Calcule la matriz inversa usando el Método de Eliminación de Gauss-Jordan.
Empezamos calculando el determinante de la matriz para verificar que éste sea diferente de cero,

Habiendo verificado que el determinante de la matriz es distinto de cero, ampliamos la matriz adosando la matriz identidad de lado derecho y aplicamos el Método de Eliminación de Gauss-Jordan sobre la matriz
.





Finalmente, la matriz inversa de A está definida de la siguiente forma,

Ejemplo 3
Considerando la matriz de tamaño . Calcule la matriz inversa usando el Método de Eliminación de Gauss-Jordan.
Empezamos calculando el determinante de la matriz para verificar que éste sea diferente de cero,

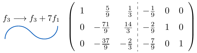
Habiendo verificado que el determinante de la matriz es distinto de cero, ampliamos la matriz adosando la matriz identidad de lado derecho y aplicamos el Método de Eliminación de Gauss-Jordan sobre la matriz
.










Finalmente, la matriz inversa de A está definida de la siguiente forma,

Ejemplo 4
Considerando la matriz de tamaño . Calcule la matriz inversa usando el Método de Eliminación de Gauss-Jordan.
Empezamos calculando el determinante de la matriz para verificar que éste sea diferente de cero,

Habiendo verificado que el determinante de la matriz es distinto de cero, ampliamos la matriz adosando la matriz identidad de lado derecho y aplicamos el Método de Eliminación de Gauss-Jordan sobre la matriz
.










Finalmente, la matriz inversa de A está definida de la siguiente forma,

[…] Cálculo de Matriz Inversa – Gauss-Jordan […]
Me gustaMe gusta
[…] Cálculo de Matriz Inversa – Gauss-Jordan […]
Me gustaMe gusta