A menudo, en las matemáticas, es necesario proceder paso a paso, contando detalladamente lo que ocurre en cada paso. Es por esto que definimos las sucesiones, pues tomando en cuenta que el conjunto de los números naturales es un conjunto contable, podemos establecer una relación entre estos y cualquier conjunto para estudiar su comportamiento.
Las sucesiones sientan una base para el cálculo infinitesimal y además, permiten, estudiar fenómenos en distintos ámbitos de las ciencias básicas y ciencias sociales.
También pudiera interesarte
Definición de Sucesión
Definimos una sucesión de números reales como una regla de correspondencia que corresponde a cada número natural con un único número real, es decir, una sucesión es una función que parte de desde y llega hasta
, entonces, si
es una sucesión, tenemos que:
Al trabajar con sucesiones, la notación de función puede sobrecargar la nomenclatura, es por esto que la regla de correspondencia para cada
que define la sucesión usualmente se denota de la siguiente forma
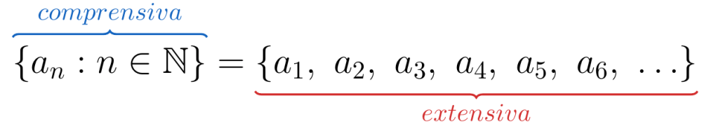
De esta forma, podemos expresar a las sucesiones como conjuntos, ya sea de forma comprensiva, definiendo la regla general que define a todos los elementos del conjunto o de forma extensiva, nombrando todos sus elementos como veremos a continuación:

Aunque también se puede expresar de forma comprensiva usando las notaciones o
.
Al ser las sucesiones representadas como conjuntos, llamaremos elemento a cada número real que la compone, sin embargo, para ser más específicos, al hacer referencia a la posición que cada elemento en el orden de la sucesión, se le llamará término.
Veamos en los siguientes ejemplos algunas de las sucesiones básicas. Como ejercicio mental para el lector, vea primero el conjunto que define la sucesión y piense cual es la regla general que la define.
Si te ha parecido útil la información que hemos presentado en totumat y quieres ayudar a mantener este sitio en línea puedes mirar nuestros anuncios publicitarios o donar dinero a través de PayPal.
Ejemplos
Ejemplo 1: Sucesión Constante
Si consideramos la sucesión , notamos que esta sucesión se genera correspondiendo a cada número natural con el número
. De forma que
Esta sucesión será llamada sucesión constante uno y la regla general que define a esta sucesión es
.
De forma general, la sucesión definida por
donde
es un número real, será llamada sucesión constante
.
Ejemplo 2: Sucesión de los Números Naturales
Si consideramos la sucesión , notamos que esta sucesión se genera correspondiendo a cada número natural con él mismo. De forma que
Esta sucesión será llamada sucesión de los números naturales y la regla general que define a esta sucesión es
.
Ejemplo 3: Sucesión de Proporcionalidad Inversa
Si consideramos la sucesión , notamos que esta sucesión se genera correspondiendo a cada número natural con el número
dividido el número natural correspondiente. De forma que
Esta sucesión será llamada sucesión de proporcionalidad inversa y la regla general que define a esta sucesión es
.
Ejemplo 4
Si consideramos la sucesión , notamos que esta sucesión se genera correspondiendo a cada número natural con él mismo dividido entre el número natural siguiente. De forma que
La regla general que define a esta sucesión es
.
Ejemplo 5: Sucesión de los Números Pares
Si consideramos la sucesión , notamos que esta sucesión se genera correspondiendo a cada número natural con él mismo, multiplicado por dos. De forma que
Esta sucesión será llamada sucesión de los números pares y la regla general que define a esta sucesión es
Ejemplo 6: Sucesión de los Números Impares
Si consideramos la sucesión , notamos que esta sucesión se genera correspondiendo a cada número natural con él mismo, multiplicado por dos menos uno, es decir, restando uno a cada número par. De forma que
Esta sucesión será llamada sucesión de los números impares y la regla general que define a esta sucesión es
Ejemplo 7: Sucesión Alternante
Si consideramos la sucesión , notamos que esta sucesión se genera correspondiendo a cada número natural con el número
multiplicado por sí mismo la cantidad de veces correspondiente a dicho número natural. De forma que
Esta sucesión será llamada sucesión alternante y la regla general que define a esta sucesión es
Ejemplo 8: Sucesión Recursiva
Si consideramos la sucesión , notamos que esta sucesión se genera definiendo los dos primeros elementos, y de ahí en adelante, sumamos los dos elementos anteriores. De forma que
Esta sucesión es conocida como la Sucesión de Fibonacci y la regla general que define a esta sucesión es
.
De forma general, todas aquellas sucesiones tales que su n-ésimo término es define a partir de términos anteriores, son conocidas como sucesiones recursivas.
[…] Definición de sucesión de números reales. […]
Me gustaMe gusta