Una de las anécdotas más icónicas de las matemáticas nos lleva a la infancia de Carl Friedrich Gauss y lo que se relata es que durante sus estudios de primaria, se le asignó a Gauss calcular la suma de los primeros 100 números naturales y para sorpresa del profesor, el pequeño Gauss de 9 años, hizo este cálculo en cuestión de segundos. «¡¿Cómo lo hizo?!», se preguntaba el profesor, historia que se relata de forma extendida en EL BLOG DE FRANCISCO R. VILLATORO.
También pudiera interesarte
Suma de los primeros n números naturales
Para simplificar las cuentas, consideremos el caso para la suma de los primeros diez números naturales, lo que notó Gauss a su corta edad, fue que si emparejaba los sumandos de la siguiente forma: ,
,
, etc, el resultado de cada par siempre es el mismo,
. Si alineamos los números del 1 al 10 de la siguiente forma, podremos ver con mayor facilidad qué es lo que ocurre:

Entonces, sumando todos estos onces, tenía que
Pero al hacer esto, contó cada número dos veces, así que el resultado lo debía dividir entre dos para así obtener que
De esta forma se pudo generalizar la suma de los primeros número naturales, pues la suma de estos pares de números tal como él los consideró siempre es igual a
, así que bastó con multiplicar esta suma por
y posteriormente dividir entre dos, de esta forma, dedujo la fórmula para calcular la suma de los primeros
números naturales y es la siguiente:
Suma de los primeros n elementos de una sucesión
La suma de los primeros números naturales da pie para calcular la suma de los primeros elementos de una sucesión aritmética. Formalmente, si consideramos
una sucesión aritmética, definimos la suma de sus primeros
elementos de la siguiente forma:

Entonces, considerando que la sucesión es aritmética, cada elemento está definido como , para todo
. Por lo tanto, tenemos que

Agrupando todos los elementos por un lado y los elementos que multiplican a
de otro, obtenemos

Sumar
veces es igual a
y además, podemos sacar el factor común entre los elementos que están siendo multiplicados por
, así

Notando que el factor que multiplica a es exactamente la suma de los primeros
números naturales, así que aplicando la fórmula, tenemos que

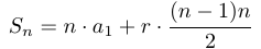
Finalmente, sacando como factor común, obtenemos una fórmula general para calcular la suma de los primeros
elementos de una sucesión:

Veamos en los siguientes ejemplos como aplicar esta fórmula.
Si te ha parecido útil la información que hemos presentado en totumat y quieres ayudar a mantener este sitio en línea puedes mirar nuestros anuncios publicitarios o donar dinero a través de PayPal.
Ejemplos
Ejemplo 1
Considerando la sucesión . Calcule la suma de los primeros 24 términos.
La base de esta sucesión es y su razón es
. Por lo tanto, la forma general para calcular los primeros 24 términos de esta sucesión está expresada de la siguiente manera:
Ejemplo 2
Considerando la sucesión . Calcule la suma de los primeros 10 términos.
La base de esta sucesión es y su razón es
. Por lo tanto, la forma general para calcular los primeros 10 términos de esta sucesión está expresada de la siguiente manera:
Ejemplo 3
Considerando la sucesión . Calcule la suma de los primeros 97 términos.
La base de esta sucesión es y su razón es
. Por lo tanto, la forma general para calcular los primeros 97 términos de esta sucesión está expresada de la siguiente manera:
Ejemplo 4
Considerando la sucesión . Calcule la suma de los primeros 62 términos.
La base de esta sucesión es y su razón es
. Por lo tanto, la forma general para calcular los primeros 62 términos de esta sucesión está expresada de la siguiente manera:
Ejemplo 5
Considerando la sucesión . Calcule la suma de los primeros 15 términos.
La base de esta sucesión es y su razón es
. Por lo tanto, la forma general para calcular los primeros 15 términos de esta sucesión está expresada de la siguiente manera: