Suponga que usted le presta dinero a una persona, ¿qué puede hacer para motivar a esta persona para que le pague la deuda? ¿Cómo mantiene a esa persona interesada en pagar el dinero que le debe? Una solución práctica es aumentar la deuda una vez que culmine cada cierto periodo de tiempo, pero, ¿de qué forma?
También pudiera interesarte
Interés Simple
Cuando usted guarda su dinero en un banco, usted está prestando este dinero y es por esto que cada cierto periodo de tiempo los bancos le abonan una cierta cantidad de dinero basada en lo que usted tenga guardado en el banco, este abono es conocido como interés y es posible describir esto de forma matemática.
Una vez que una persona ha depositado un monto de dinero en un banco, definimos una tasa de interés como un porcentaje del monto y que el banco retribuirá a la persona cada cierto periodo de tiempo. Formalmente, si una persona invierte un capital en un banco que ofrece una tasa de interés del
por ciento, entonces, definimos el interés sobre este monto de la siguiente forma
Decimos que una tasa de interés es una tasa de interés simple si este se calcula siempre sobre el capital inicial depositado por la persona, de forma que si el capital es igual a , entonces tenemos que
Durante el transcurso del primer periodo, la persona habrá acumulado
Durante el transcurso del segundo periodo, la persona habrá acumulado
Durante el transcurso del tercer periodo, la persona habrá acumulado
Y así sucesivamente, podemos concluir que durante el transcurso del -ésimo periodo, la persona habrá acumulado
Notando entonces que el monto acumulado durante el transcurso del -ésimo periodo, está determinado por una sucesión aritmética creciente, a esta expresión se le conoce como la fórmula de interés simple y al valor
se le conoce como capital inicial. Veamos entonces algunos ejemplos donde podemos aplicar esta fórmula.
Ejemplos
Ejemplo 1
Suponga que una persona ha depositado un capital Ps. en un banco que ofrece una tasa de interés simple del 21.5 por ciento anual. Determine cuanto capital habrá acumulado esta persona durante el transcurso del año 5.
Teniendo en cuenta que , aplicando la fórmula de interés simple, el capital acumulado viene dado de la siguiente manera:
Por lo tanto, el valor de este bien en el año 5 es de 13870.04 Ps.
Ejemplo 2
Suponga que una persona ha depositado un capital Ps. en un banco que ofrece una tasa de interés simple del 3.65 por ciento anual. Determine cuanto capital habrá acumulado esta persona durante el transcurso del año 10.
Teniendo en cuenta que , aplicando la fórmula de interés simple, el capital acumulado viene dado de la siguiente manera:
Por lo tanto, el valor de este bien en el año 10 es de 4207.4 Ps.
Ejemplo 3
Suponga que una persona ha depositado un capital Ps. en un banco que ofrece una tasa de interés simple del 0.2 por ciento anual. Determine cuanto capital habrá acumulado esta persona durante el transcurso del año 4.
Teniendo en cuenta que , aplicando la fórmula de interés simple, el capital acumulado viene dado de la siguiente manera:
Por lo tanto, el valor de este bien en el año 4 es de 6735.17 Ps.
Ejemplo 4
Suponga que una persona ha depositado un capital Ps. en un banco que ofrece una tasa de interés simple del 18.8 por ciento anual. Determine cuanto capital habrá acumulado esta persona durante el transcurso del año 8.
Teniendo en cuenta que , aplicando la fórmula de interés simple, el capital acumulado viene dado de la siguiente manera:
Por lo tanto, el valor de este bien en el año 8 es de 11580.0 Ps.
Si te ha parecido útil la información que hemos presentado en totumat y quieres ayudar a mantener este sitio en línea puedes mirar nuestros anuncios publicitarios o donar dinero a través de PayPal.
Determinar la fórmula general de interés simple
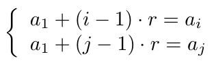
Considerando que la fórmula de interés simple está determinada por una sucesión aritmética, es posible determinar la fórmula general conociendo el capital que ha acumulado una persona en dos años distintos.
Formalmente, si consideramos el capital acumulado en dos años distintos, digamos y
, podemos determinar el valor de
y de
calculando la solución del siguiente sistema de ecuaciones lineales:

Veamos en los siguientes ejemplos como determinar la fórmula general de una sucesión aritmética usando esta técnica.
Ejemplos
Ejemplo 5
Suponga que después de haber depositado dinero en un banco, una persona ascumuló un capital de en el año 4 y
en el año 20. Determine la fórmula general de interés simple para determinar cuanto capital ha acumulado esta persona durante el
-esimo año.
Para esto, calculamos la solución del siguiente sistema de ecuaciones lineales:

Para calcular la solución de este sistema de ecuaciones restamos ambas ecuaciones, notando que para obtener la siguiente ecuación
A partir de esta ecuación podemos despejar , para obtener que
y sustituirlo en la ecuación de nuestra preferencia para calcular
.
Sustituimos en la primera ecuación y despejamos

Finalmente, concluimos que el capital inicial es de y la tasa de interés es de
, así que podemos expresar la fórmula general que define el interés simple de la siguiente manera:
Ejemplo 6
Suponga que después de haber depositado dinero en un banco, una persona ascumuló un capital de en el año 4 y
en el año 9. Determine la fórmula general de interés simple para determinar cuanto capital ha acumulado esta persona durante el
-esimo año.
Para esto, calculamos la solución del siguiente sistema de ecuaciones lineales:

Para calcular la solución de este sistema de ecuaciones restamos ambas ecuaciones, notando que para obtener la siguiente ecuación
A partir de esta ecuación podemos despejar , para obtener que
y sustituirlo en la ecuación de nuestra preferencia para calcular
.
Sustituimos en la primera ecuación y despejamos

Finalmente, concluimos que el capital inicial es de y la tasa de interés es de
, así que podemos expresar la fórmula general que define el interés simple de la siguiente manera:
Si te ha parecido útil la información que hemos presentado en totumat y quieres ayudar a mantener este sitio en línea puedes mirar nuestros anuncios publicitarios o donar dinero a través de PayPal.
Ejemplo 7
Suponga que después de haber depositado dinero en un banco, una persona ascumuló un capital de en el año 4 y
en el año 16. Determine la fórmula general de interés simple para determinar cuanto capital ha acumulado esta persona durante el
-esimo año.
Para esto, calculamos la solución del siguiente sistema de ecuaciones lineales:

Para calcular la solución de este sistema de ecuaciones restamos ambas ecuaciones, notando que para obtener la siguiente ecuación
A partir de esta ecuación podemos despejar , para obtener que
y sustituirlo en la ecuación de nuestra preferencia para calcular
.
Sustituimos en la primera ecuación y despejamos

Finalmente, concluimos que el capital inicial es de y la tasa de interés es de
, así que podemos expresar la fórmula general que define el interés simple de la siguiente manera:
Ejemplo 8
Suponga que después de haber depositado dinero en un banco, una persona ascumuló un capital de en el año 5 y
en el año 17. Determine la fórmula general de interés simple para determinar cuanto capital ha acumulado esta persona durante el
-esimo año.
Para esto, calculamos la solución del siguiente sistema de ecuaciones lineales:

Para calcular la solución de este sistema de ecuaciones restamos ambas ecuaciones, notando que para obtener la siguiente ecuación
A partir de esta ecuación podemos despejar , para obtener que
y sustituirlo en la ecuación de nuestra preferencia para calcular
.
Sustituimos en la primera ecuación y despejamos

Finalmente, concluimos que el capital inicial es de y la tasa de interés es de
, así que podemos expresar la fórmula general que define el interés simple de la siguiente manera:
Si te ha parecido útil la información que hemos presentado en totumat y quieres ayudar a mantener este sitio en línea puedes mirar nuestros anuncios publicitarios o donar dinero a través de PayPal.
¿Cuántos periodos?
Un aspecto importante de la fórmula de interés simple es que nos permite proyectar inversiones en un banco pues, una vez que se ha depositado una cantidad de dinero, es posible determinar los periodos que deben transcurrir hasta acumular un capital determinado. Veamos en los siguiente ejemplos como determinar esto.
Ejemplos
Ejemplo 9
Suponga que una persona ha depositado la cantidad de Ps. en un banco que ofrece una tasa de interés simple de
por ciento anual. Determine cuantos años deben transcurrir hasta acumular 26152 .
Aplicando la fórmula de interés simple, el capital acumulado durante el transcurso del -ésimo año viene dado de la siguiente manera:
Nuestro propósito es determinar el valor de para el cual
, es decir, para el cual
y para esto, despejamos
.

Por lo tanto, esta persona acumulará un capital de 26152 en aproximadamente 21 años.
Ejemplo 10
Suponga que una persona ha depositado la cantidad de Ps. en un banco que ofrece una tasa de interés simple de
por ciento anual. Determine cuantos años deben transcurrir hasta acumular 18132 .
Aplicando la fórmula de interés simple, el capital acumulado durante el transcurso del -ésimo año viene dado de la siguiente manera:
Nuestro propósito es determinar el valor de para el cual
, es decir, para el cual
y para esto, despejamos
.

Por lo tanto, esta persona acumulará un capital de 18132 en aproximadamente 41 años.
Si te ha parecido útil la información que hemos presentado en totumat y quieres ayudar a mantener este sitio en línea puedes mirar nuestros anuncios publicitarios o donar dinero a través de PayPal.
Ejemplo 11
Suponga que una persona ha depositado la cantidad de Ps. en un banco que ofrece una tasa de interés simple de
por ciento anual. Determine cuantos años deben transcurrir hasta acumular 10896 .
Aplicando la fórmula de interés simple, el capital acumulado durante el transcurso del -ésimo año viene dado de la siguiente manera:
Nuestro propósito es determinar el valor de para el cual
, es decir, para el cual
y para esto, despejamos
.

Por lo tanto, esta persona acumulará un capital de 10896 en aproximadamente 1 año.
Ejemplo 12
Suponga que una persona ha depositado la cantidad de Ps. en un banco que ofrece una tasa de interés simple de
por ciento anual. Determine cuantos años deben transcurrir hasta acumular 27161 .
Aplicando la fórmula de interés simple, el capital acumulado durante el transcurso del -ésimo año viene dado de la siguiente manera:
Nuestro propósito es determinar el valor de para el cual
, es decir, para el cual
y para esto, despejamos
.

Por lo tanto, esta persona acumulará un capital de 27161 en aproximadamente 14 años.





























Debe estar conectado para enviar un comentario.