Hasta ahora hemos estudiado funciones elementales observando su comportamiento global al graficarlas en todo su dominio y su comportamiento local usando el cálculo infinitesimal. En ocasiones podemos toparnos que no están definidas en exactamente un punto o que su comportamiento cambia drásticamente de momento a otro, tal como ocurre al definir las funciones por partes.

También pudiera interesarte
Definición de Continuidad
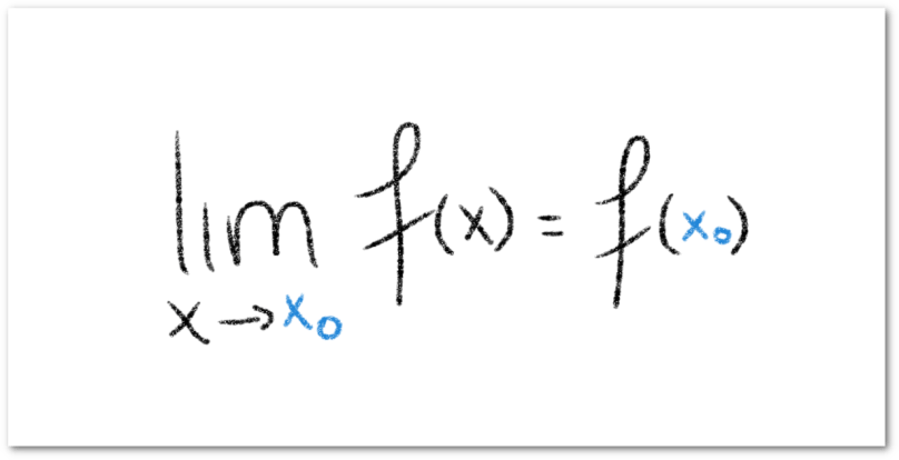
Al observar la gráfica de una función diremos —de forma intuitiva— que una función es continua si ésta no presenta ningún salto o que se puede dibujar sin levantar el lápiz. Formalmente, diremos que una función es continua en un punto
si se cumple la siguiente igualdad
Más aún, diremos que la función es continua en un intervalo
si esta es continua para todo punto
.
Se interpreta matemáticamente de la siguiente forma:
Para todo número real , existe un número real
tal que
si entonces
Notemos que la definición de continuidad está íntimamente relacionada con la definición de límites, entonces, si bien en algunos casos puede resultar obvia la continuidad de una función, hay casos en los que no. Veamos algunos ejemplos básicos para demostrar la continuidad de una función.
Si te ha parecido útil la información que hemos presentado en totumat y quieres ayudar a mantener este sitio en línea puedes mirar nuestros anuncios publicitarios o donar dinero a través de PayPal.
Ejemplos
Ejemplo 1
Considerando la función definida a continuación, verifique la continuidad de la misma en el punto
.
Este caso es muy claro, pues al calcular el límite sustituyendo el valor en la función se verifica inmediatamente la igualdad pues
y
.
Ejemplo 2
Considerando la función definida a continuación, verifique la continuidad de la misma en el punto
. Note que la función está definida por partes.
Al estar definida la función por partes, hay tomar en cuenta que al calcular el límite cuando tiende a
estamos considerando los valores de
cercanos a
pero no iguales, es decir, son distintos de
, de esta forma tenemos que
Por otra parte, al evaluar la función en tenemos que
En vista de que el límite cuando la función tiende a es distinta de la función evaluada en
, es decir,
, concluimos que la función no es continua en el punto
.
Si te ha parecido útil la información que hemos presentado en totumat y quieres ayudar a mantener este sitio en línea puedes mirar nuestros anuncios publicitarios o donar dinero a través de PayPal.
Ejemplo 3
Considerando la función definida a continuación, verifique la continuidad de la misma en el punto
. Note que la función está definida por partes.
Al estar definida la función por partes, hay que tomar en cuenta que al calcular el límite cuando tiende a
, es necesario considerar los límites laterales. Entonces,
Si calculamos el límite por la izquierda, estamos considerando los valores de menores que
, de esta forma tenemos que
Si calculamos el límite por la derecha, estamos considerando los valores de mayores que
, de esta forma tenemos que
El resultado es una indeterminación, es por esto que debemos factorizar el polinomio que está en el numerador para simplificar el límite.
Finalmente, tenemos que los límites laterales son distintos, es decir, . Entonces, no existe el límite de la función
cuando
tiende a
y así, la función no es continua en
Considerando estos tres ejemplos, podemos establecer una serie de pasos para determinar si una función es continua en un punto de la siguiente forma: Sea una función, diremos que esta es continua en un punto
si se cumplen las siguientes condiciones.
está en el dominio de la función
.
- El límite de
existe cuando
tiende a
, es decir,
[…] es continua en un punto . Entonces, la función es derivable en el punto y […]
Me gustaMe gusta