Diremos que un sistema de ecuaciones lineales (ó sistema de ecuaciones lineales simultáneas) es un conjunto de ecuaciones con incógnitas comunes. Formalmente, sean un conjunto de
incógnitas, definimos un sistema de ecuaciones lineales con
incógnitas y
ecuaciones, de la siguiente forma:

Una vez que hemos planteado un sistema de ecuaciones lineales con ecuaciones y
incógnitas de forma matricial, es decir, de la siguiente forma:

Podemos definir varios elementos que nos permitan calcular la solución del sistema de ecuaciones usando determinantes de matrices, así que empezaremos definiendo
Si , podemos garantizar que existe una única solución para el sistema de ecuaciones, por lo tanto
Definimos como el determinante de la matriz que resulta al sustituir la primera columna por la matriz
, es decir,

Definimos como el determinante de la matriz que resulta al sustituir la segunda columna por la matriz
, es decir,

Continuando así, definimos como el determinante de la matriz que resulta al sustituir la \emph{j-ésima} columna por la matriz
, es decir,

Finalmente, definimos como el determinante de la matriz que resulta al sustituir la \emph{n-ésima} columna por la matriz
, es decir,

Una vez que hemos definido esta serie de elementos, podemos definir los valores que dan solución al sistema de ecuaciones planteando los siguientes cocientes:
Este método es conocido como la Regla de Cramer, veamos entonces con algunos ejemplos como calcular la solución de sistemas de ecuaciones lineales usando este método.
Ejemplos
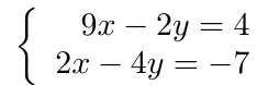
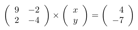
Ejemplo 1
Calcule la solución del siguiente sistema de ecuaciones lineales,

Este sistema de ecuaciones lineales se puede expresar de forma matricial, de la siguiente manera:

Una vez que hemos expresado el sistema de forma matricial, calculamos los elementos que nos permitirán calcular las soluciones.



Finalmente, la solución del sistema de ecuaciones lineales está definida de la siguiente forma:
Ejemplo 2
Calcule la solución del siguiente sistema de ecuaciones lineales,

Este sistema de ecuaciones lineales se puede expresar de forma matricial, de la siguiente manera:

Una vez que hemos expresado el sistema de forma matricial, calculamos los elementos que nos permitirán calcular las soluciones.




Finalmente, la solución del sistema de ecuaciones lineales está definida de la siguiente forma:
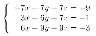
Ejemplo 3
Calcule la solución del siguiente sistema de ecuaciones lineales,

Este sistema de ecuaciones lineales se puede expresar de forma matricial, de la siguiente manera:

Una vez que hemos expresado el sistema de forma matricial, calculamos los elementos que nos permitirán calcular las soluciones.




Finalmente, la solución del sistema de ecuaciones lineales está definida de la siguiente forma:
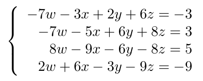
Ejemplo 4
Calcule la solución del siguiente sistema de ecuaciones lineales,

Este sistema de ecuaciones lineales se puede expresar de forma matricial, de la siguiente manera:

Una vez que hemos expresado el sistema de forma matricial, calculamos los elementos que nos permitirán calcular las soluciones.





Finalmente, la solución del sistema de ecuaciones lineales está definida de la siguiente forma:
Debe estar conectado para enviar un comentario.