Calcule la solución de las siguientes ecuaciones lineales usando en cada paso los Axiomas Algebraicos de los Números Reales, explique cada paso con sus propias palabras.
Calcule la solución de las siguientes ecuaciones lineales usando en cada paso los Axiomas Algebraicos de los Números Reales, explique cada paso con sus propias palabras.
Las grandes constantes matemáticas provienen en su mayoría de relaciones geométricas por ejemplo, la constante de Pitágoras es la longitud de la hipotenusa de un triángulo rectángulo con ambos catetos igual a
,
es la proporción de la longitud de arco de una circunferencia entre su diámetro y el número de oro
que define la proporción áurea (dos cantidades están en la proporción áurea si su proporción es igual a la proporción de su suma a la mayor de las dos cantidades).

Sin embargo, otras constantes que no provienen de este tipo de relaciones.
Suponga que usted invierte un capital en un banco que ofrece un plan de plazo fijo con una tasa de interés compuesto del
anual. Entonces, Al final del primer año usted habrá acumulado lo que tenía en el año anterior (
) más un
por ciento de ese capital (
), es decir,
Y notando que podemos sacar a como un factor común, obtenemos
Al final del segundo año usted habrá acumulado lo que tenía en el año anterior () más un
por ciento de ese capital (
), es decir,
Y notando que podemos sacar a como un factor común, obtenemos
Si continuamos razonando de esta manera, podemos concluir que al final del tercer año usted habrá acumulado , al final del cuarto año
y así de forma sucesiva, podemos decir que al final del n-ésimo año habrá acumulado
Esta fórmula nos provee una forma general de calcular el capital acumulado con una tasa de interés al cabo de
periodos de tiempo. Consideremos un caso muy particular, en el que tomamos un perolito (moneda oficial de totumat) y los invertimos en un banco que ofrece una tasa de interés del 100% anual. Entonces, al cabo de un año habremos acumulado
Supongamos ahora que este banco, ofrece una tasa de interés del 50% semestral, de esta forma, al final del año han culminado dos periodos y así, habremos acumulado
Notamos que al final del año se habrá acumulado un capital mayor por lo que parece atractiva la idea de segmentar el año más cuotas de interés, entonces si consideramos una tasa de interés del 33.333% cuatrimestral, al final del año han culminado tres periodos y así, habremos acumulado
Podemos razonar de esta manera de forma sucesiva, partiendo el año en periodos más pequeños para maximizar nuestro capital acumulado, sin embargo, observemos cuidadosamente lo que ocurre
Si bien el capital acumulado aumenta a medida que segmentamos el año, éste tiende a estancarse incluso si estamos acumulando intereses de forma continua en el tiempo. Lo que que han descubierto las matemáticas es que a medida que tiende a infinito, la expresión
tiende a un número particular que se conoce como la Constante de Euler o Constante de Napier. De forma general, tenemos que

El número tiene gran importancia en las matemáticas ya que este representa el crecimiento natural de las cosas. Además cuenta con propiedades muy ricas en el cálculo diferencial e integral.
Al considerar de la Ley de Tricotomía de los números reales, hemos visto que al considerar dos números reales, existen tres tipos de relaciones entre ellos dos: el primero es menor que el segundo, el primero es mayor que el segundo o el primero es igual al segundo.
En esta ocasión, nos enfocaremos en la relación de igualdad, pues esta nos permite plantear ciertas situaciones de forma matemática, para posteriormente, desarrollar estrategias que permitan solventar dichas situaciones.
Formalmente, definimos una ecuación como una relación entre números conocidos y números desconocidos a través de una igualdad. Generalmente, denotamos dichos números desconocidos con las letras ,
o
; a estos valores desconocidos también se les conoce como incógnitas. De esta forma, podemos plantear una ecuación de la siguiente forma:
Esta ecuación plantea de forma tácita la siguiente pregunta: «¿cuál es ese número tal que al sumarle tres, el resultado es igual a 5?». La respuesta salta a la vista, pues intuitivamente sabemos que ese número es igual a dos. Sin embargo, la idea de plantear ecuaciones es la de desarrollar métodos lógico-deductivos que permitan calcular dichos valores desconocidos en problemas más complejos. Entonces, es necesario plantear la siguiente pregunta:
También pudiera interesarte
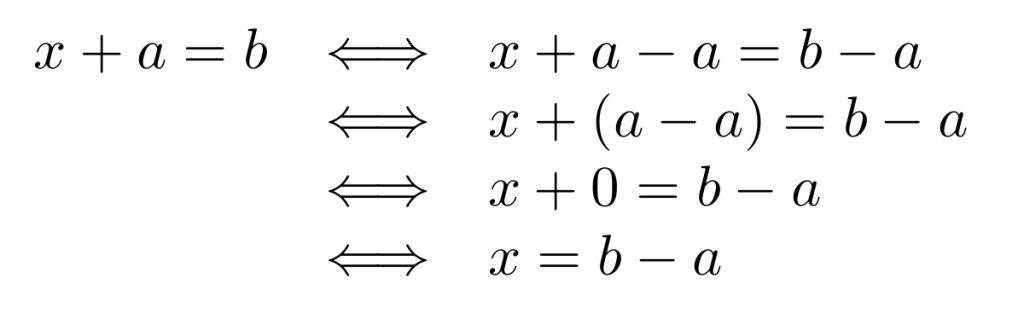
Suponga que usted vive en un país donde la moneda local es el Perolito (Ps). Suponga además que usted tiene activados ciertos servicios en su celular y que la renta básica mensual es de 83 Ps. De un mes a otro la renta básica mensual le aumentó a 132 Ps. ¿Cuánto fue el monto que le aumentó? Lo natural es tomar la renta nueva y restarle la antigua, de este modo obtenemos 49. Seguidamente usted exclamará: «¡Me subieron la renta 49 perolitos, qué ultraje!».
Si a este valor desconocido lo representamos con la letra x, esta situación se puede plantear de la siguiente manera:
ochenta y tres más equis es igual a ciento treinta y dos
Entonces si es nuestra incógnita y; 83 y 132 dos valores que sí conocemos, ¿podemos hallar este valor que desconocemos considerando la ecuación antes planteada? Sí se puede y el procedimiento es el siguiente:
Partiendo de la ecuación original, sabemos que la suma es conmutativa, por lo tanto podemos cambiar el orden en que estamos sumando del lado izquierdo de la igualdad, entonces la expresión es equivalente a
Seguidamente, note que si usted tiene dos cantidades que son iguales, digamos que tiene 132 perolitos en su cartera y 132 perolitos en el banco, en ambos lugares tiene exactamente la misma cantidad, entonces si de ambos extrae la cantidad de 83 perolitos, en ambos lugares tendrá exactamente la misma cantidad.
Básicamente, estamos diciendo que si usted resta el mismo número en ambos lados de una ecuación, la igualdad se mantendrá. Entonces,
Podemos asociar la suma que se encuentra del lado izquierdo de la igualdad y efectuar la operación que se encuentra del lado derecho, de la siguiente forma:
Recordando que al sumar un número real con su opuesto aditivo el resultado es exactamente cero, entonces
Pero sabemos que el cero es el elemento neutro de la suma, por lo tanto, al sumarle cero a cualquier número el resultado será justamente ese número, así
De esta última línea concluimos que nuestro valor desconocido es 49, tal como desde un principio lo habíamos intuido. Entonces, de forma general, si a y b son números reales, siempre que tengamos una ecuación de la forma , podemos hallar la solución de ésta siguiendo los pasos que se indican a continuación:

Si te ha parecido útil la información que hemos presentado en totumat y quieres ayudar a mantener este sitio en línea puedes mirar nuestros anuncios publicitarios o donar dinero a través de PayPal.
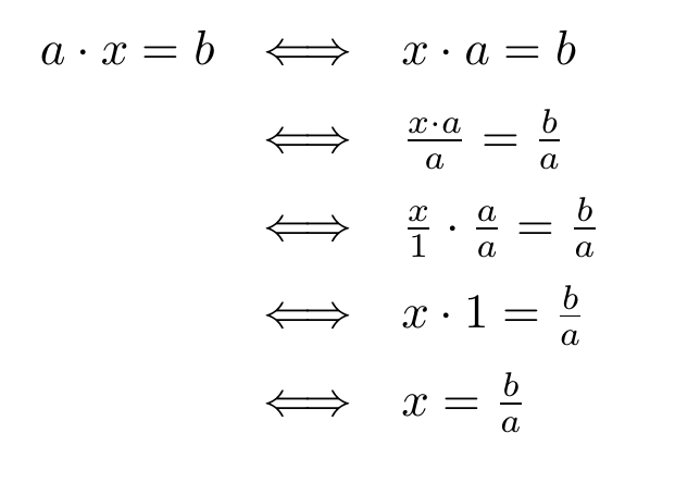
Suponga que usted quiere comprarse una licuadora que cuesta 2400 Ps. y consigue un empleo temporal donde le pagan 120 Ps. por cada hora de trabajo, ¿cuántas horas deberá trabajar para poder comprarse la licuadora? Suponiendo que x es la cantidad de horas que usted debe trabajar, esta situación la podemos plantear con una ecuación de la siguiente manera:
ciento veinte por equis es igual a dos mil cuatrocientos
¿Cómo podemos hallar este valor que desconocemos? Partiendo de la ecuación original, sabemos que el producto es conmutativo, por lo tanto podemos cambiar el orden en que estamos multiplicando del lado izquierdo de la igualdad, entonces la expresión es equivalente a
Seguidamente, note que si usted tiene dos cantidades que son iguales, digamos que tiene 2400 perolitos en su cartera y 2400 perolitos en el banco, en ambos lugares tiene exactamente la misma cantidad, entonces una ciento veinteava parte en ambos lugares será exactamente la misma cantidad.
Básicamente, estamos diciendo que si usted divide por el mismo número en ambos lados de una ecuación, la igualdad se mantendrá. Entonces,
Podemos reescribir el producto que se encuentra en el numerador del lado izquierdo de la igualdad como un producto de fracciones y efectuar la operación que se encuentra del lado derecho, de la siguiente forma:
Podemos notar que dividir un número entre él mismo es lo mismo que multiplicar un número real con su opuesto aditivo, por lo que es exactamente uno. Además todo número dividido entre uno es el mismo número, entonces
Pero sabemos que el uno es el elemento neutro del producto, por lo tanto, al multiplicar cualquier número por uno el resultado será justamente ese número, así
De esta última línea concluimos que nuestro valor desconocido es 20, es decir, deberá trabajar durante 20 horas para poder reunir 2400 Ps. y comprar la licuadora de sus sueños. Entonces, de forma general, si a y b son números reales, siempre que tengamos una ecuación de la forma , podemos hallar la solución de ésta siguiendo los pasos que se indican a continuación:

A este tipo de ecuaciones las llamamos Ecuaciones Lineales y se caracterizan porque la única alteración que afecta a la incógnita es la suma o multiplicación de constantes. Posteriormente, veremos que este tipo de ecuaciones está íntimamente relacionada con la gráfica de una línea recta.
Entre los números reales podemos hacer todas las operaciones que ya hemos aprendido al definir los números naturales, enteros y racionales, estas operaciones son: suma, resta, multiplicación y división. Pero, al presentarse los números reales como un contexto más general, es necesario formalizar la forma en que podemos efectuar estas operaciones.
También pudiera interesarte
Los Axiomas Algebraicos de los Números Reales usualmente se conocen como propiedades de los números reales y para enunciarlos, consideremos ,
y
números reales.
Veamos ahora que existe cierta dualidad entre la suma y el producto, pues hay propiedades parecidas pero en el contexto del producto como se presentan a continuación:
Finalmente, veamos una propiedad que involucra la suma y la multiplicación al mismo tiempo.
Si consideramos esta igualdad en el sentido de izquierda a derecha, podemos notar que hemos distribuimos el factor en una suma.
Sin embargo, en el sentido de derecha a izquierda, podemos notar que al ser un factor común en ambos sumandos, haremos algo que se conoce como sacar el factor común, es decir,
Si te ha parecido útil la información que hemos presentado en totumat y quieres ayudar a mantener este sitio en línea puedes mirar nuestros anuncios publicitarios o donar dinero a través de PayPal.
Existen otros axiomas que cohesionan con mayor fuerza el conjunto de los números reales, particularmente, Ley de Tricotomía define una parte de los Axiomas de Orden de los números reales estableciendo una relación entre dos números reales.
Formalmente, si y
son números reales, entonces se cumple sólo una de las siguientes:
1.- a es igual a b, es decir, . Gráficamente tenemos que a y b se encuentran en el mismo punto de la recta real.

2.- a es menor que b, es decir, . Gráficamente tenemos que a se encuentra a la izquierda de b de la recta real.

3.- a es mayor que b, es decir, . Gráficamente tenemos que a se encuentra a la derecha de b de la recta real.

Las relaciones entre cualquier número real y el número cero son muy particulares, pues el cero de cierta forma parte la recta real en dos partes, a una parte la llamaremos el Conjunto de los Reales Positivos y a la otra parte la llamaremos El Conjunto de los Reales Negativos. Entonces si es un número real, tendremos que:
Gráficamente, diremos que los números positivos están a la derecha del cero y los números negativos están a la izquierda del cero. Entonces, al trazar la recta real, siempre indicaremos con una flecha el sentido en el que se encuentran los números positivos.

Si te ha parecido útil la información que hemos presentado en totumat y quieres ayudar a mantener este sitio en línea puedes mirar nuestros anuncios publicitarios o donar dinero a través de PayPal.
Consideremos tres números reales ,
y
. Si
es menor que
y a su vez,
es menor que
, podemos asegurar que
es menor que
, es decir,
y
, entonces
Consideremos tres números reales ,
y
. Si
es menor que
y sumamos
a
y a
, entonces se preserva el orden de estas sumas, es decir,
, entonces
Consideremos tres números reales ,
y
. Si
es menor que
y multiplicamos por un número positivo
a
y a
, entonces se preserva el orden de la suma, es decir,
y
, entonces
Empecemos considerando un triángulo rectángulo, es decir, un triángulo que tiene un ángulo recto (90°). Decimos que sus catetos son los lados adyacentes a este ángulo y la hipotenusa será el lado opuesto a dicho ángulo. Entonces, si un cateto mide , el otro cateto mide
y la hipotenusa mide
; podemos dibujar un triángulo rectángulo de la siguiente forma:

También pudiera interesarte
El Teorema de Pitágoras establece que si usted tiene un triángulo rectángulo, el cuadrado de la hipotenusa será igual a la suma de los cuadrados de los catetos, es decir,
Con este resultado podemos decir que si tenemos un triángulo rectángulo cuyos catetos miden 3 y 4, entonces . Si la hipotenusa es c, tendremos que
. Es decir, la hipotenusa será un número tal que multiplicado por él mismo nos da 25 como resultado, ya que
, concluimos que la hipotenusa de este triángulo mide 5.
De igual forma si tenemos un triángulo rectángulo cuyos catetos miden 5 y 12, la hipotenusa medirá 13. Si los catetos miden 8 y 6, la hipotenusa medirá 10. Notemos que estos casos la medida de la hipotenusa es un número entero, sin embargo, este no es un caso general.
Supongamos que los catetos de un triángulo rectángulo miden 1 cada uno. Tendremos que . Entonces
, ¿puede usted pensar en un número racional tal que al multiplicarlo por sí mismo nos dé 2 como resultado? ¿Será 1? ¿Será 2? ¿Qué tal 1,5? La respuesta es que no hay un número racional tal que multiplicado por sí mismo nos dé 2 como resultado.
Si te ha parecido útil la información que hemos presentado en totumat y quieres ayudar a mantener este sitio en línea puedes mirar nuestros anuncios publicitarios o donar dinero a través de PayPal.
Esta situación la solucionamos definiendo un nuevo número que no es natural, no es entero y tampoco es racional. Lo denotaremos con y diremos que éste satisface la condición
, es decir,
.
Hay una gran cantidad de situaciones en las que tendremos que definir nuevos números como , etc. El símbolo
se llama raíz cuadrada, y así como se han presentado estos números, se presentarán otras ocasiones en los que debemos definir nuevos números como por ejemplo
,
ó
.
Todos estos números a diferencia de los números racionales tendrán una extensión decimal infinita no periódica, es decir, su extensión decimal nunca se repite. Por ejemplo, con técnicas computarizadas se han logrado calcular hasta la fecha 31 4159 2653 5897 dígitos del número . Estos son los primeros 160 publicados en pi day:
3.1415 9265 3589 7932 3846 2643 3832 7950 2884 1971 6939 9375 1058 2097 4944 5923 0781 6406 2862 0899 862 8034 8253 4211 7067 98214 8086 5132 8230 6647 0938 4460 9550 5822 3172 5359 4081 2848 1117 45…
Si te ha parecido útil la información que hemos presentado en totumat y quieres ayudar a mantener este sitio en línea puedes mirar nuestros anuncios publicitarios o donar dinero a través de PayPal.
Definiremos un nuevo conjunto que alberga todos estos números y justamente por su característica de no ser racionales, lo llamaremos el conjunto de los Números Irracionales. Lo denotaremos con el símbolo .
Considerando todos los conjuntos que hemos definido anteriormente, como los números naturales, enteros y racionales, definiremos un nuevo conjunto que alberga a todos los números racionales y todos los números irracionales, lo llamaremos el conjunto de los Números Reales y lo denotaremos por , formalmente tendremos que
De esta forma nos podemos dar cuenta que el conjunto de los Números Racionales es un subconjunto del conjunto de los Números Reales, más aún, tendremos una cadena de contenciones de la siguiente forma:
Es importante notar que a medida que definimos nuevos conjuntos, llenamos los «huecos» que hay entre los elementos de los conjuntos. Se asemeja a una historia de un autor anónimo que frecuentemente se encuentra en internet:
Anónimo…
Un profesor de filosofía llegó al salón de clases con su termo de café caliente como de costumbre, pero esta vez traía consigo una gran jarra y varios objetos. Sin mediar palabra el profesor llenó la jarra con pelotas de golf y preguntó a sus alumnos si la jarra estaba llena. Ellos asintieron con confusión por la obviedad de la pregunta.
Entonces el profesor tomó una caja de canicas y las vertió también dentro de la jarra; agitó con cuidado la jarra. Las canicas rodaron en las áreas abiertas que había entre las pelotas de golf. De nuevo les preguntó a sus estudiantes si la jarra estaba llena. Por segunda vez, todos estuvieron de acuerdo.
Después, el profesor tomó una caja de arena y la vertió en la jarra. Como ya podrán imaginarse, la arena se deslizó por todos los huecos que aún quedaban. El les preguntó una vez más si la jarra estaba llena. Los estudiantes respondieron al unísono «¡SÍII!».
Con mucha tranquilidad el profesor tomó su termo de café y lo vertió completamente en la jarra llenando efectivamente el espacio entre la arena. Los estudiantes rieron.
La historia generalmente viene acompañada con algunas frases de autoayuda o reflexiones sobre la vida pero eso no nos interesa, lo importante es notar que al representar el conjunto de los números reales de forma gráfica obtendremos una pasta cohesionada de números sin espacios entre ellos, que representaremos con una recta centrada en el cero de la siguiente forma:

A esta recta la llamaremos Recta Real y en ella representaremos todos los números que hemos conocido hasta ahora.
– ¡Amor! 2 ha llegado de la guerra pero se ha vuelto irracional.
– ¡¿Qué?! ¡No 2! Él siempre ha sido… ¡Oh, dios!
– ¡Se ha radicalizado!


Debe estar conectado para enviar un comentario.